Apprendre LaTeX : packages utiles
par Damien Mégy latex tikz qrcode
Table des matiĂšres
Début de préambule moderne
Compilation avec LuaLaTeX
Version minimaliste:
\documentclass[11pt,a4paper]{article}
\usepackage{mathtools,unicode-math}
Ceci permet dĂ©jĂ de faire la plupart de ce qu'on pouvait faire auparavant avec pdflatex (la police par dĂ©faut de lualatex est latin modern), et aussi de taper directement dans le fichier source des choses comme $â«_Îł f(z)dz = â«âÂč f(Îł(t))Îł'(t)dt$ si on le dĂ©sire.
Version moins minimaliste avec le package fontspec, pour pouvoir par exemple utiliser n'importe quelle police installée sur la machine :
\documentclass[11pt,a4paper]{article}
\usepackage{fontspec} % pour changer la police
\setmainfont{Libertinus Serif} % contient plus de glyphes que lmodern
\usepackage{mathtools,unicode-math}
\setmathfont{Libertinus Math}
Compilation Ă l'ancienne avec PDFLaTeX
Remarque : le compilateur recommandé officiellement depuis de nombreuses années est LuaLaTeX. La compilation en lualatex est supportée de base sur la plupart des éditeurs (TexMaker etc).
\documentclass[11pt,a4paper]{article}
\usepackage[T1]{fontenc}
\usepackage[utf8]{inputenc}
\usepackage{lmodern}% ou fourier, palatino etc
\usepackage{mathtools,amssymb,mathrsfs,stmaryrd}
Usual suspects
En vrac, enlever le superflu :
\usepackage[main=french,english]{babel} % mĂȘme avec lualatex
\usepackage{amsthm,thmtools} % définitions modernes de thm
\usepackage{geometry,microtype,sidenotes,fancyhdr}
\usepackage{enumitem,array,tabulararray,booktabs}
\usepackage{subfiles,pdfpages,graphicx}
\usepackage[dvipsnames]{xcolor} % avant tikZ!
\usepackage[colorlinks=true]{hyperref} % en dernier
Mise en page et préparation pour l'impression (livres, articles, flyers etc)
Les options et packages suivants sont utiles lors de la préparation d'un manuscript avant publication ou impression.
- Package
geometry(page CTAN, doc pdf) avec options[showframe]: affiche un rectangle noir autour de la zone de texte, du header et du footer. - Package
crop(page CTAN, doc pdf), avec optionsa4,center,camouframe: permet de sortir un pdf en papier a4 avec le document réel centré. Le bord du document est matérialisé par un cadre (frame), ou bien des mires de camera (cam). - Pour repérer rapidement les boites qui débordent :
\overfullrule=10pt. (Le modedraftdes classes usuelles le fait déjà .) - Mode draft : remplace les images par des cadres vides.
- Package
draftmark(page CTAN, doc, exemples) : annotations, filigranes etc. - Package
showframe - Script Perl
latexdiff: https://ctan.org/pkg/latexdiff pour visualiser avec des couleurs et dans un pdf compilé la différence entre deux fichiers latex. Bien sûr, on peut étudier la différence sans compilation, uniquement en analysant les fichiers texte dans le terminal avecdiff(oucoloridiff), par exemplediff v1.tex v2.texoudiff -y -W 70 v1.tex v2.tex(cÎte-à -cÎte, sur une largeur de 70 colonnes). Voir par exemple cet article récapitulatif.
Packages pour les profs de maths
«LaTeX pour le prof de maths»
Une mine d'or. Seul problÚme, le graphisme (dessins, tracés de courbes etc) est traité du point de vue de PSTricks et non tikZ. La programmation est abordée avec les packages ifthenelse, multido etc, alors qu'il vaudrait mieux maintenant directement utiliser Lua la plupart du temps.
Dans tous les cas, le document reste d'une trÚs grande richesse et utilité.
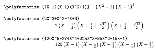
Package polynom
Factorisation, division euclidienne et algorithme d'Euclide pour des polynĂŽmes Ă une variable. Page CTAN. La commande factorisation peut ĂȘtre utile. Pas de commande pour dĂ©velopper, dommage.

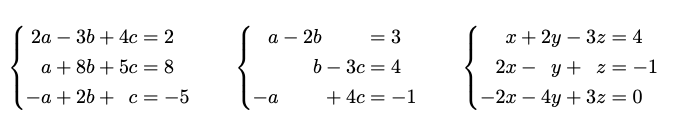
Pour les systÚmes linéaires : systeme
Auteur : Christian Tellechea, page CTAN, doc en français. Un package pour taper des systÚmes linéaires simplement. Alignement des variables, tri automatique des variables etc. TrÚs nombreuses options mais la commande de base est déjà trÚs utile
\systeme{
2a-3b+4c=2,
a+8b+5c=8,
-a+2b+c=-5
}
\systeme{
a-2b=3,
b-3c=4,
-a+4c=-1
}
\systeme{
2y+x-3z=4,
z-y+2x=-1,
-2x+3z-4y=0
}

Package ProfCollege
Auteur: Christophe Poulain, page CTAN, doc en français (600 pages).
Ce package fait tout et mĂȘme plus.

Package ProfLycee
Auteur : Cédric Pierquet, page CTAN, doc en français.
Semblable au précédent, pour les maths de lycée : probabilités conditionnelles, analyse etc.
QR codes
qrcode
Page CTAN, doc. Traditionnellement, le package utilisé pour créer et dessiner des qrcodes dans un document est (était) qrcode. Ce pakage permet de dessiner des qrcodes sans pstricks (le prédécesseur était pst-barcode), ni aucun autre package de dessin. Il dessine en effet les qrcodes avec la commande \rule de LaTeX.
On crée un qrcode en tapant \qrcode{https://animathor.fr} et de nombreuses options sont possibles : \qrcode[version=10,height=3cm]{https://animathor.fr}
qrcodetikz
Page CTAN, doc. Plus récent que le précédent, il colorie mieux les applats, ne laisse pas de mince filet blanc visible comme qrcode. Ce package réécrit les fonctions de dessin du package précédent pour un rendu plus esthétique. Il permet aussi de faire des qrcodes arrondis ou de passer des options de remplissage tikz :
\qrcode{https://animathor.fr}
\qrcodeFillOptions{rounded corners=.9pt}
\qrcode{https://animathor.fr}
\qrcodeFillOptions{left color=orange,right color=teal,draw=white, very thin}
\qrcode{https://animathor.fr}

fancyqr
Ce package, récent lui aussi, permet encore plus de choses, par exemple d'insérer une image au milieu du QRcode. La syntaxe est \fancyqr[<options>]{url}.
http://mirrors.ctan.org/graphics/pgf/contrib/fancyqr/fancyqr-doc.pdf
Codes barres (par exemple ISBN)
https://ctan.org/pkg/ean13isbn (2021)
https://ctan.org/pkg/qrcstamps (2018)
https://ctan.ceremade.dauphine.fr/macros/luatex/generic/barracuda/doc/manual/barracuda-manual.pdf : codes-barres avec Lua.
Illustrations
fontawesome5
https://ctan.org/pkg/fontawesome5 doc https://texlive.mycozy.space/fonts/fontawesome5/doc/fontawesome5.pdf
JeuxCartes
ALternative tikZ à pst-poker de Cédric Pierquet permettant d'insérer des cartes de poker, uno, tarot etc en plusieurs styles. Pratique pour les exercices de probabilités. Documentation
Ornaments
https://ctan.org/pkg/pgfornament par Alain Matthes, le créateur de tkz-euclide.
Autres
Moins utiles
couleurs-fr
Noms francais des couleurs. Plus utile qu'il n'en a l'air.
PremiĂšre utilitĂ© : charge xcolor sans options, donc pas de collision possible avec les noms dvipsnames ou svgnames. Contient Ă©normĂ©ment de noms de couleurs, dont beaucoup de couleurs "xkcd" . Si xcolor doit tout de mĂȘme ĂȘtre chargĂ© avec des options, alors charger xcolor avant.
Le package permet aussi de préfixer les noms des couleurs déclarées.